Anthony D. Cate, Ph.D.
Roanoke College
These slides available at: https://floruit.xyz/static/wic/Cate_CVCSN_2024.html
Allik & Tuulmets (1991)
Anobile, Cicchini & Burr (2013)
Im, Zhong & Halberda (2016)
Animations looping through all 180 patterns viewed by participants

Gaussian, \(\sigma\) = 1.7

Gaussian, \(\sigma\) = 2.0

Poisson

Gaussian, \(\sigma\) = 4.0, with Poisson “pedestal”
Use convex hull to measure area of clusters



Baseline data for comparison
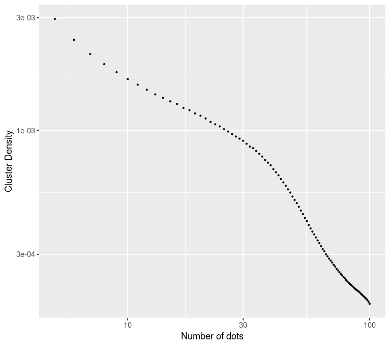
Assume that simplest cluster formation method is to select all dots within a given radius of display center
Recalculate cluster measurements for clusters of different numbers of dots: from 1 to 100 dots

Gaussian, \(\sigma\) = 1.7


Gaussian, \(\sigma\) = 2.0


Poisson


Gaussian, \(\sigma\) = 4.0, with Poisson “pedestal”

Linear mixed effects regression: Type II Wald \(\chi^2\) = 180.26, p << 0.001
Green ribbon = standard error of the mean for simulated baseline data (from 180 trials) \(y = f(x) = cluster\ density(number\ of\ dots)\)
Yellow dots = inflection points (\(y'' = 0\))
Purple dot = maximum of Gaussian curvature \(\kappa\) of baseline data curve \[ \kappa\left(x\right) = \frac{{\lvert}y''{\rvert}}{\left(1 + \left(y'\right)^2\right)^\frac{3}{2}} \]
Linear mixed effects regression: Type II Wald \(\chi^2\) = 180.26, p << 0.001
Linear mixed effects regression: Type II Wald \(\chi^2\) = 209.03, p << 0.001
Linear mixed effects regression: Type II Wald \(\chi^2\) = 87.5, p << 0.001
Linear mixed effects regression: Type II Wald \(\chi^2\) = 190.63, p << 0.001

Straight lines on log-log axes indicate power functions:
\(f(x) = ax^k + b\)
Log-log slope = the exponent (\(k\)), intercept = slope (\(a\))
Stevens’ Power Law: intensity of perceptual phenomena follow power functions
Cluster density: negative slopes -> negative exponents
